首页
本馆概况
本馆简介
历史沿革
服务指南
入馆须知
交通指南
办证指南
开放时间
借书规则
查目辅导
读者监督
书刊遗失
免费开放
年度报告
咨询服务
自助服务
移动服务
阅读活动
数字资源
特色数据库
数据库资源
随书光盘
浙江网络图书馆
浙江数字图书馆
馆藏特色
地方文献
善本书目
家谱目录
方志一览
受赠图书
上虞姓氏
古籍数字化平台
数字资源
当前位置:
首页
>
数字资源
>
特色数据库
>
上虞家谱
>
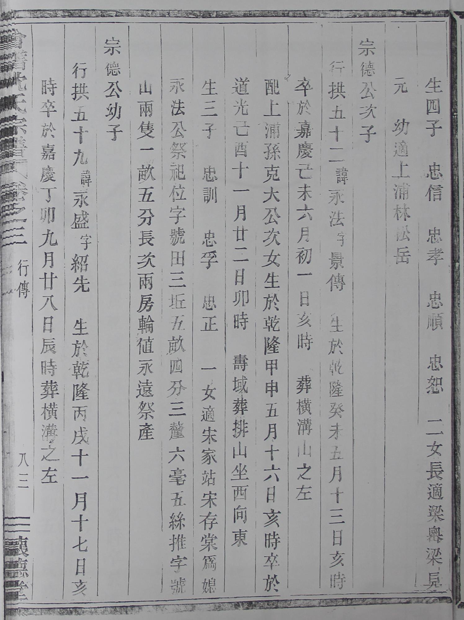
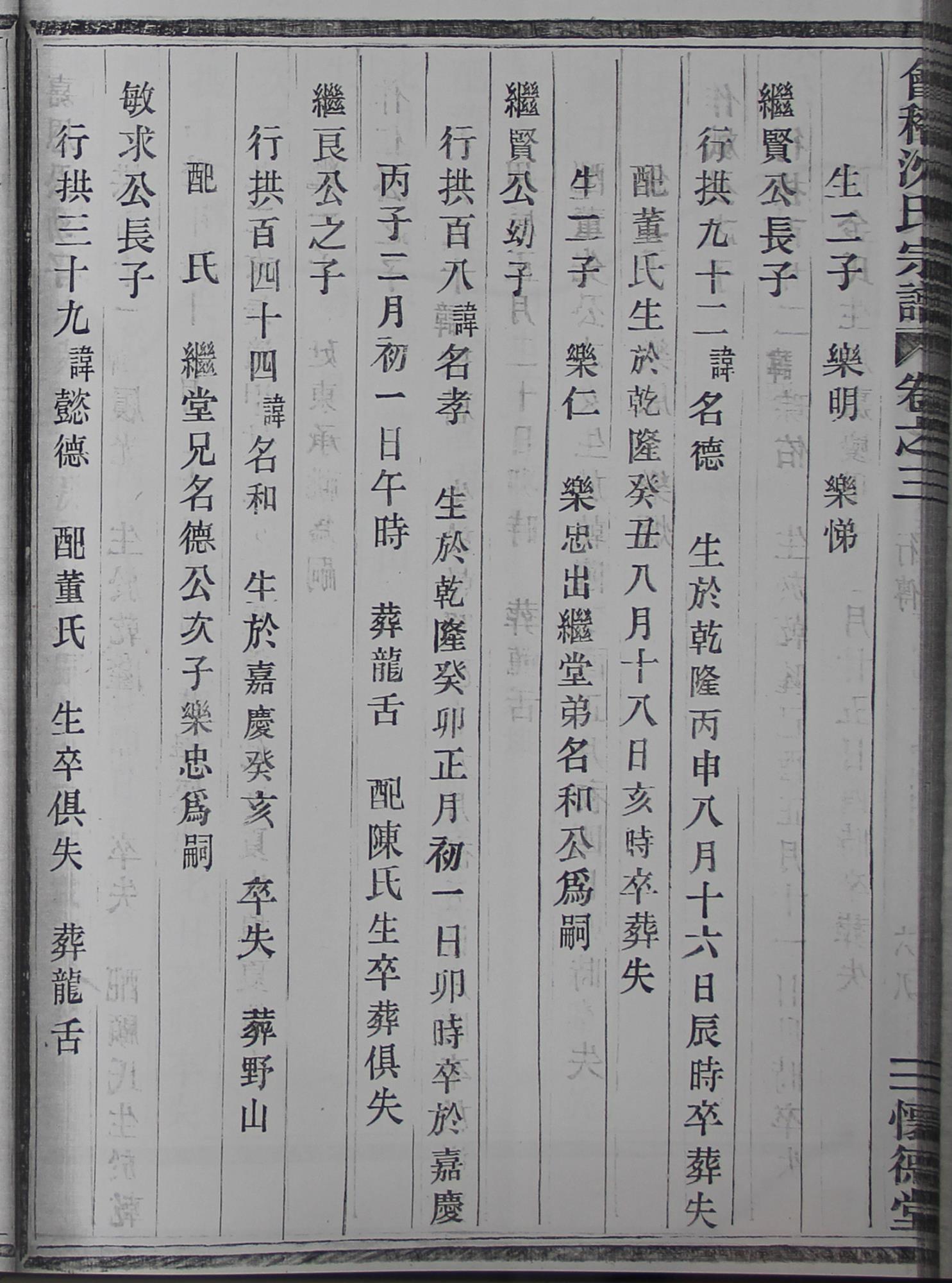
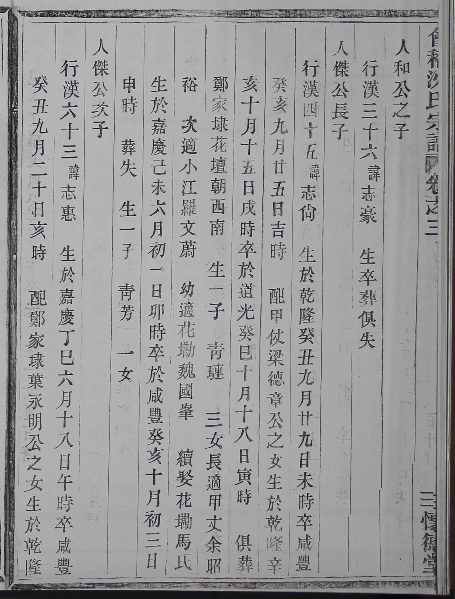
会稽沈氏宗谱
会稽沈氏宗谱
第一册
第二册
第三册
返回列表
第二册
联系我们
地址:绍兴市上虞区市民中心一路2号
电话:0575-82213864
邮箱:shangyutsg@126.com
公交:223路、229路、227路、226路、222路、228路、230路
相关网站
相关网站
浙江省文献信息资源共建共享网
浙江省全民学习中心
友情链接
全省图书馆
浙江图书馆
瑞安图书馆
杭州市图书馆
萧山图书馆
宁波市图书馆
慈溪市图书馆
余姚市图书馆
舟山市图书馆
温州市图书馆
绍兴市图书馆
新昌县图书馆
柯桥区图书馆
嘉兴市图书馆
海宁市图书馆
湖州市图书馆
长兴图书馆
温岭市图书馆
三门县图书馆
丽水市图书馆
衢州市图书馆
缙云市图书馆
上虞图书馆 版权所有 Copyright © 1998-2025 SYLIB.COM All Rights Reserved.
浙ICP备09033598号
浙公网安备 33060402000103号